
Digital Rational Number (DRUM) Intervention
Drs. Clarissa Thompson (Kent State University), Jessica Rodrigues (University of Missouri), Charlie Fitzsimmons (University of North Florida), Pooja Sidney (University of Kentucky), Lauren Schiller (Teachers College, Columbia), and John Opfer (The Ohio State University)–an interdisciplinary team of math cognition and special education researchers–implemented the Institute of Education Sciences-funded Digital Rational NUMber (DRUM) Intervention with third-fifth graders in local schools in OH during the 2022-2023 academic year. This year, the research team focused on students with or at risk for a disability affecting math.

DRUM employs number lines to help children draw analogies. For example, we would show children that 3 is located in the same place on a 0-8 number line as 3/8 is located on a 0-1 number line. Our team (Yu et al., 2022) has published initial findings showing the promise of the DRUM Intervention for helping children learn in the top-tier journal, Developmental Psychology. You can access that report here:

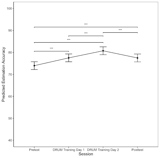
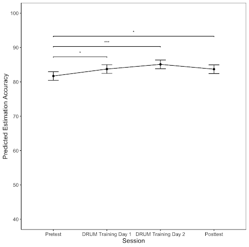
Our DRUM 2023 implementation was a major success! After less than 30 minutes of training, our intervention improved children’s understanding of how big whole numbers and fractions are, as demonstrated by children’s greater accuracy at placing numbers on number lines, helped boys catch up to girls in their number knowledge, and was even more effective among those children with lower math anxiety and more favorable math attitudes.

Figure 1. Fraction Estimation Accuracy Improved from Pretest to Posttest

Figure 2. Whole Number Estimation Accuracy Improved from Pretest to Posttest
Now, we are making the brief practice lessons freely available to all interested children, parents, and teachers. Each lesson includes instructional videos and immediate feedback to help children estimate numbers with more precision.
If you have any questions or feedback about the lessons, please contact Clarissa Thompson:
cthomp77@kent.edu
